Halo anak Indonesia, masih semangat belajar, kan? Melanjutkan pembahasan kita tentang pecahan, setelah penjumlahan dan pembagian pecahan,yuk hari ini kita bahas tentang perkalian dan pembagiannya.  Sudah siap belajar? Yuk, kita simak pembahasannya di bawah ini.

Perkalian dan Pembagian Pecahan Biasa dan Campuran

Perkalian pecahan campuran harus diubah menjadi perkalian pecahan biasa dahulu. Selanjutnya, hasil perkalian pecahan biasa adalah hasil perkalian pembilang dengan pembilang dan penyebut dengan penyebut.

Contohnya:

perkalian pecahan

Pembagian pecahan campuran harus diubah menjadi perkalian pecahan biasa. Selanjutnya hasil pembagian pecahan biasa ialah hasil perkalian pecahan yang dibagi dengan kebaikan dari pecahan pembagi.

Contohnya:

pembagian pecahan

Perkalian dan Pembagian Pecahan Desimal

Bagaimana cara menyelesaikan perkalian pecahan desimal? Caranya diawali dengan menghilangkan tanda koma, lalu mengalikan angka-angkanya seperti biasa. Jumlah angka di belakang koma pada hasil perkaliannya sama dengan jumlah banyaknya angka di belakang koma dari pengali-pengalinya.

Contohnya:

perkalian pecahan desimal

Untuk menyelesaikan pembagian pecahan desimal caranya diawali dengan menghilangkan tanda koma, yaitu dengan cara mengalikan kedua angkanya dengan bilangan 10, 100, 1.000, dan seterusnya sehingga menjadi pembagian bilangan bulat, kemudian lakukan pembagian seperti biasa.

Contoh:

pembagian pecahan desimal

Operasi Campuran

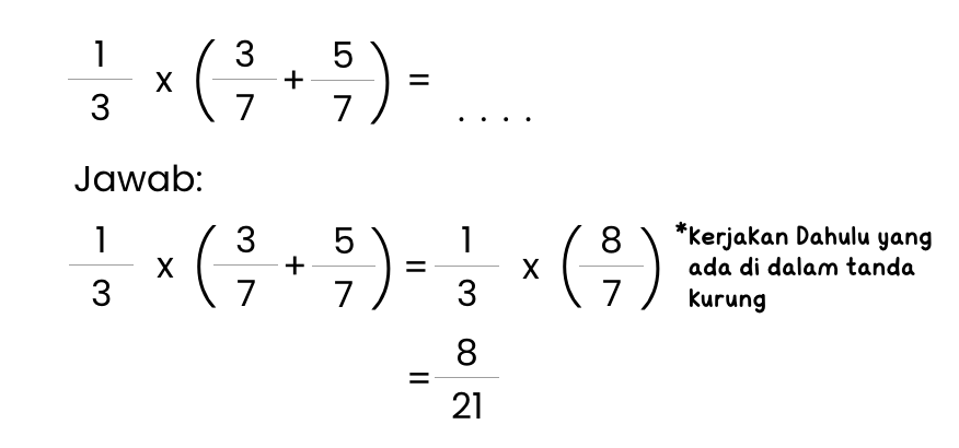
Bagaimana jika perkalian pecahan disertai dengan penjumlahan? Aturannya tetap sama seperti pada operasi campuran bilangan bulat. Jika dalam operasi campuran itu ada tanda kurung “( … )” maka, selesaikan dulu yang ada di dalam tanda kurung. Jika tidak ada tanda kurung, operasi perkalian dikerjakan terlebih dahulu baru setelah itu penjumlahannya.

Contohnya:

operasi campuran

Contohnya:

operasi campuran

Nah, lengkap sudah pembahasan tentang pecahan. Selain penjumlahan dan pengurangan, sekarang kalian juga sudah belajar tentang perkalian dan pembagian. Jangan lupa untuk perbanyak latihan, ya. Semakin banyak latihan, pemahaman kalian pasti juga akan semakin baik. Kalau masih ada yang kurang mengerti, kalian bisa langsung akses halo guru untuk konsultasi dengan guru favorit kalian dan akses bank soal nya untuk mendapat latihan soal sebanyak-banyaknya. Semangat selalu anak Indonesia!