Halo anak Indonesia. Waktu itu kita sudah bahas apa itu pecahan beserta bentuk-bentuk pecahan. Sekarang, yuk kita bahas penjumlahan dan pengurangannya. Masih ingatkan pecahan itu apa? Pecahan atau fraksi adalah istilah matematika yang memiliki bentuk a/b dimana b≠ 0.Di sini, a merupakan pembilang dan b merupakan penyebut. Bagaimana cara penjumlahan dan pengurannya? Simak pembahasannya dibawah ini ya.
Penjumlahan dan Pengurangan Pecahan Biasa dan Campuran
Menyelesaikan penjumlahan dan pengurangan pecahan biasa dapat dilakukan dengan menyamakan penyebutnya dan menyesuaikan pembilangnya. Selanjutnya hasil dari penjumlahan atau pengurangan pecahannya adalah dengan menjumlahkan atau mengurangkan pembilang-pembilangnya dan nilai penyebut tetap sama.
Contohnya:

Untuk pembagian pecahan campuran harus diubah menjadi perkalian pecahan biasa. Selanjutnya, hasil perkalian pecahan biasa adalah hasil perkalian pembilang dengan pembilang dan penyebut dengan penyebut.
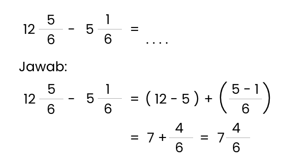
Contohnya:

contohnya:

Penjumlahan dan Pengurangan Pecahan Desimal
Menyelesaikan penjumlahan dan pengurangan pecahan desimal dapat dilakukan dengan cara bersusun dengan angka-angka yang nilai tempatnya sama diletakkan secara lurus ke bawah sehingga letak tanda komanya lurus kebawah sehingga letak tanda koma nya lurus kebawah. Untuk mempermudah, samakan terlebih dahulu banyak angka di belakang komanya dengan menambahkan angka nol.
Contohnya:

Contohnya:

Nah selanjutnya, untuk lebih memahami penjumlahan dan pengurangan pecahan, latihan yang banyak, ya. Kalau-kalau masih bingung, boleh langsung konsultasi saat ini juga di halo guru dengan guru favorit kalian! Ada juga bank soal yang bisa membantu kalian latihan soal dirumah lebih baik lagi. Tetap semangat belajar ya anak Indonesia untuk raih cita-cita kalian setinggi langit.


Recent Comments